After completing your UCAS Application, Personal Statement and ESAT, the last major step of your Cambridge Natural Sciences application is the interviews. This is potentially the hardest step of the process as it requires you to truly sell yourself as an applicant to the Cambridge admissions team.
During your interviews, you’ll be tested on a variety of things, including your scientific knowledge, your motivation for studying at Cambridge and your general thinking skills. There are many different types of questions you could be asked, so this guide will help you be prepared for common types of questions that you may encounter.
Cambridge Interview Format
Firstly, let’s look at the basics of Cambridge interviews. You can learn more about Cambridge Interviews in our essential preparation guide here, so this will be a quick overview.
When Are Cambridge Natural Sciences Interviews?
Cambridge holds interviews for all subjects in the first three weeks of December. An interview timetable is published before this period, though the exact dates and times of your interviews will be included in your invitation.
When Are Interview Invitations Sent Out?
You should expect to receive your interview invitation from your college anywhere from one to three weeks before your first interview. This doesn’t give you much time to prepare, so it is important that you start your interview preparation far before you receive your invite.
How Many Applicants Does Cambridge Interview?
Cambridge interviews roughly 70% of its applicants each year, though this will vary between subjects.
Where Are Cambridge Interviews Held?
Ever since 2020, the majority of interviews have been held remotely, meaning you can attend them from your home or school via Microsoft Teams or Zoom (you will be given information about which platform you need to use in your invitation).
A select few colleges currently offer in-person interviews, either as an option or a requirement. These interviews will be held in Cambridge within the college campus, full details on where to go will be included in your invitation.
How Many Interviews Will I Attend?
Cambridge Natural Sciences applicants will typically sit at least two interviews in December, though some may need to attend more.
Who Will Be Interviewing Me?
Your interviewers will generally be admissions tutors and lecturers from the college, generally those who work within your subject department. Each interview will usually feature two interviewers; you likely won’t meet the same interview twice.
What Format Are The Interviews?
Cambridge interviews are always held in a panel format, meaning you’ll be having a face-to-face conversation with the interviewers, answering their questions as you go. You may need to work through a scientific problem at some point in the interview, which may include looking at a reference image or data.
You may need to write or draw something on paper if your interview is in person, they will provide everything you need. If you’re doing a remote interview, you will need to draw on a digital whiteboard that will be featured in the meeting room where your interview takes place.
How Long Are The Interviews?
Interviews at Cambridge generally run for 30 minutes. This is a strict limit, so there won’t be any room for extra time.
What Happens After My Interviews?
Once you’ve completed your last interview, all you can do is wait for your offer or any other form of correspondence.
If the college you applied for rejects your application, you may be placed into the Winter Pool. This will give you another chance to get your offer at another college. This may or may not involve an additional interview in late January, so be prepared for one, as you will only be given a couple of day’s notice.
That covers the basics of Cambridge interviews. Now it’s time for the most important part – the questions.
Enhance your interview techniques with UniAdmissions
Our Natural Sciences Interview Programme was designed by Oxbridge experts to ensure you’re fully prepared for everything the interviewers will ask you. Through one-to-one tutoring, mock interviews and live courses – all provided by Natural Sciences students – you will have everything you need for success.
Discover our Cambridge Natural Sciences Interview Programme by clicking the button below to learn how you can enrol and triple your chances of success.
Common Cambridge Natural Sciences Interview Questions
Questions at most Oxbridge interviews can generally be broken down into six categories:
- Generic Questions
- Subject-Related Questions
- Academic Questions
- Reading-Related Questions
- Personal Statement Questions
- Thinking Questions
Each of these questions has a different purpose that is important to the admissions tutors, although some seem more abstract than others. Let’s run through each category to get a better understanding:
Generic Questions
These are the questions you’d expect to hear in any interview. They’re easy to anticipate, but they’re not always easy. These questions generally relate to your motivations, asking why you’re there at this interview. Examples include:
- Why Natural Sciences?
- Why Cambridge?
- Why this college?
You won’t be asked all of these questions in your interview and, due to how common they’re perceived to be, you may not be asked any of them. However, it’s always best to be prepared for them anyway.
The ideal answer for a question like this should include the right mix of personal experience and understanding of the subject/university, providing relatable and sincere reasons for not only why you want to study but why you would be a good fit there as well.
When discussing personal motivations, be sure to keep your answer consistent with what you wrote in your Personal Statement.
Subject-related Questions
These questions are more directly relevant to the subject you’re applying for and are generally the questions you’ll see the most of, especially in STEM subjects like Natural Sciences. These questions are intended to start conversations and encourage creative thinking about the way we interpret things in science.
Potentially, you could be asked about any topic covered in Natural Sciences, from animal physiology to the science behind everyday items. However, interviewers will generally stick to asking you about Mathematics and the science/s that you study at A-Levels. Examples of questions could include:
- How would you go about making a new colour of tomato?
- Why is the sky blue?
- How does a microwave work?
With questions like these, they aren’t expecting you to have a complete understanding of every scientific concept. Instead, you’re expected to use your limited understanding to discuss a concept or creatively solve a problem.
The most important thing to do during a question like this is to think out loud. You aren’t going to have an answer thought out beforehand, so you’ll need to take time to properly consider the question. A little bit of silence is fine, but the whole reason they’re asking these questions is to understand how you work through a problem. Explaining your thought process in real-time is the best way of demonstrating this.
We’ll look at some examples of these kinds of questions in the next section, as they are all very unique and require many different skills to prepare for.
Academic Questions
Rather than being questions regarding your school work, this is more so how we refer to moments in interviews where you’re just given a scientific or mathematics problem to solve. This is far more common in STEM subjects, as it’s much easier to present a question like this.
Sometimes, you’ll be given reference material before the interview, while sometimes you may be given all the information directly from the interviewer. Depending on how things are presented, you may have a small amount of time to work through the problem silently, but you’ll more likely have to visually or verbally present your process as you go.
Reading-Related Questions
These are questions related to any wider reading you have conducted or discussed in your Personal Statement. These are pretty simple questions to answer; you’ll just need to discuss what you’ve been reading, what you think about it and what interesting concepts or facts you’ve learnt. Questions could include:
- Tell me about something you’ve read recently.
- What did you think about X?
- Did you hear about this story in the news?
These questions aren’t limited to books so don’t be afraid to discuss articles, papers, news stories or documentaries that you’ve engaged with recently.
Personal Statement Questions
These questions are self-explanatory – questions about your Personal Statement. These aren’t as common because Cambridge admissions tutors are generally less interested in your Personal Statement.
However, if an interviewer does bring up anything about your statement, they will likely be looking for information regarding an experience you’ve had or a super-curricular activity you’ve taken part in. These are pretty simple to tackle; just provide some more background into what you wrote and be honest about it.
Thinking Questions
These may also be referred to as the “weird” questions, as they can seem very abstract and irrelevant to the course. However, these are designed to test general thinking skills like critical thinking and problem-solving in unique contexts. They aren’t designed to catch you out, but they will definitely make you pause and think for a minute (just remember not to stay quiet for too long).
In subjects like Natural Sciences, these questions are rarely used as the interviewers are far more interested in assessing your thinking skills in actual scientific contexts. However, you can check out our guide to Weird Oxbridge Interview Questions if you want to get a better sense of what to expect from these kinds of questions.
We now understand the basic forms these questions can take, although bear in mind that there is always the potential for an odd-ball question that doesn’t fit into any of these categories. However, let’s next take a look at some worked examples of Natural Sciences interview questions.
Crack the Oxbridge Interview with The Big Book of Oxbridge Applications
Wherever you are in your Oxbridge journey—just getting started or looking to sharpen your approach—The Big Book of Oxbridge Applications is your essential companion. The dedicated interview chapter takes the mystery out of the process, helping you walk into your interview with clarity and confidence.
Don’t leave your preparation to chance. Get a head start with this free, expertly written guide. Inside, you’ll find:
- Real examples of common and subject-specific interview questions
- Insight into what admissions tutors are really looking for
- Interviews with Oxbridge students and graduates
- Practical tips and strategies for practice
Example Cambridge Natural Sciences Interview Questions
Here are six questions that will test your understanding of science in a variety of contexts. While you may not be asked these exact questions in your interview, learning how to approach questions like these will be essential for success.
Cambridge Natural Sciences Interview Question 1
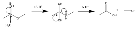
How can you synthesise alcohols?
How to Answer
This is a pretty simple question on the surface and should be easy to answer, assuming you understand the processes. Preparation for this question comes down to just understanding the topic, which is why it can be hard to be ready for anything within a Natural Sciences interview, seeing as there are hundreds of topics you could be tested on.
For this question, the first step is to think about the different routes to get to an alcohol. If the time is available, make a synthesis map and include other synthesis routes on this too, such as making amines, esters and carboxylic acids.
Some important points to consider in this question include:
- Mechanisms: Explain the arrows in the mechanism, like how the arrow is moving from an electron-rich area to an electron-poor area. Explain why one area is electron poor/ rich - does it have electron-withdrawing groups, is it conjugation?
- Conditions: Is it a reflux? Do you need a catalyst?
- Options: Think about all the possible routes, not just one.
Model Answer
To begin with, I could do hydrolysis. This can be under acid or base conditions, and the mechanism would look something like this:
Here, the nucleophile is the lone pair on the oxygen in the water. It attacks at the carbonyl group, which is electron-poor as there are electronegative oxygen groups that remove electron density.
This mechanism is under acidic conditions; this speeds up the reaction as the positive charges on the carbonyl make the carbonyl pi star orbital lower in energy.
In the second step, the alcohol group leaves, as it is a better-leaving group than the OH group. Hydrolysis forms an alcohol and a carboxylic acid.
Another way to synthesise an alcohol is a Grignard reaction with an aldehyde. Here, the Grignard RMgCl is the nucleophile and attacks the positive carbonyl group. It then forms a tetrahedral alkoxide intermediate. This negative charge is stabilised by the Mg2+ charge. Then, an alcohol is formed after an acid workup.
Finally, you can also reduce aldehydes, carboxylic acids and ketones to form primary and secondary alcohols. LiAlH4 and NaBH4 are used to do this.
Your answer may not be this long, and you may not have the chance to draw detailed diagrams, but the main takeaway from this example is to provide multiple examples when asked a question with multiple possible answers.
Cambridge Natural Sciences Interview Question 2
How does blood maintain its pH?
How to Answer
While still fairly simple, this question is less open-ended than the previous question. To answer this question, think about what you have learned in your A-Levels and start from there – the interviewers will extend and stretch you from there.
One thing to think about is why the pH should be maintained. Then, write out an equation for reactions that you know occur and explain each side of the equation. Think about the pHs of the reactants and of the products.
Model Answer
It is important to maintain the blood pH to prevent denaturing of enzymes that are important in your body. There are buffers dissolved in the blood that maintain blood pH. This reaction would look like this:
Lungs → CO2 + H20 → H2CO3 → H+ + HCO3 – → Kidneys
This reaction is also reversible. When the pH needs to be altered, the direction of the equilibrium also changes.
Cambridge Natural Sciences Interview Question 3
Discuss the bonding in benzene.
How to Answer
This is structured as less of a question and more of a conversation starter, but the intention behind it and the expected outcome is still very clear.
Once again, draw on your A-Levels. Think about what you’ve learnt and what this means for the reactivity of benzene. Then consider what evidence you know that supports this and think of reactions you know with benzene in them.
Benzene then undergoes electrophilic substitution reactions as it is electron-rich due to this delocalisation of electrons, which commonly causes nitration.
Model Answer
Benzene’s bonds are between a single bond and a double bond. This is evident through looking at bond length data, which is in between the single and double bond lengths.
The bonds are all conjugated, which you can tell through its resonance forms. This means that it is much lower in energy than would be expected, which is evident through the enthalpy of hydrogenation data. The fact that benzene is more stable than expected is because of the delocalisation, which means that the typical Kekule structure is not accurate.
Cambridge Natural Sciences Interview Question 4
What makes drugs physiologically active?
How to Answer
This question is very broad, as drugs can function in different ways. To tackle a question like this, it’s best to find something about this that you find interesting and then go from there.
Again, once you start, they will guide you, so if they are interested in one train of thought you had, they’ll stretch you from there. Don’t worry about including everything, as it would be impossible to do in the amount of time you have.
This is also a good question to showcase further reading you’ve done and maybe give examples of drugs you’ve read about and their synthesis process and action.
Model Answer
When it comes to drugs, their shape and the way they will react with a receptor Is what cause this activation. This will depend on their functional groups and how these may fit into a receptor.
Drugs interact with a cell at a specialised protein in the cell membrane or on the channels of the cell membrane, which allow ions to pass in and out of the cell.
The water solubility of the drug is also important, the drug should be soluble for it to travel through the body efficiently. The surface area of the drug is important as that affects the rate a which a drug will be metabolised.
For example, thalidomide has an enantiomer. In the body, thalidomide would change to the other enantiomer, which looked different and interacted with receptors differently.
Cambridge Natural Sciences Interview Question 5
Do you think O-H and O-D bonds differ in strength?
How to Answer
This question is different from the others we’ve seen so far as it’s asking a yes or no question. In science, a question like this will normally always have a definitive answer, but you need to be able to explain your reasoning and highlight potential factors that may impact the final answer.
For this question, you must think about what strength means. For instance, bond enthalpy. You should also consider any formulas you know in relation to bond strength.
Model Answer
Here is the diagram of the transition states for a reaction where the O-H bond is broken versus the O-D bond.
Here, you can see that the activation energy for the O-D bond is higher than the O-H bond. This is because the zero point energy of O-D is lower than O-H, as deuterium is heavier than hydrogen.
Bond strength also depends on the covalence of the bond for O-H/D. As D is bigger than hydrogen, the bigger the overlap between two atoms, the stronger the bond. So, from this, I’d expect the O-D bond to be stronger than O-H.
However, the mass difference between D and H is not very significant. Hence, the bond strength between the two must also not be very significant.
In this model answer, you can see that the applicant has provided an answer while also expressing the caveat that the answer isn’t as simple as it may seem. You likely won’t need to draw a diagram to answer this, we’ve just included it for the sake of explanation.
Cambridge Natural Sciences Interview Question 6
How many different molecules can you make from 6 carbons and 12 hydrogens?
How to Answer
This is a very technical and specific question without much room for interpretation or argument. Therefore, you’ll need to try your best to solve the problem and get the correct answer.
To answer this question, first think about the different types of isomerism that exist, such as:
- Chains
- Stereoisomers
- Optical
- Conformational
Next, think about the rules to determine whether there are any double bonds present: CnH2n (for alkenes) and CnH2n+2 (for alkanes). When answering, draw what you can, as this will help you be clear in your answers.
There are so many possibilities here, so start with the simplest and then build your way up. Have a clear and logical approach to this question. They may ask you to focus on something specifically or stretch a certain compound, so just know to go with the flow!
Those are just six examples of questions that could be asked at a Natural Sciences interview. Science is such a broad subject, so the chances of being asked these specific questions are very slim. The point of these examples is more to highlight how you can effectively approach any kind of science-based interview question in order to provide an in-depth and insightful response.
Understanding the science behind every possible question is practically impossible at this stage, so don’t be disheartened if you didn’t get any of what was discussed in these examples. Most questions have universal factors that you can pull from to influence your answer, even if you are less knowledgeable about the specific topic, so understanding the fundamentals is key.
Cambridge Natural Sciences Interview Tips
Before we finish this guide, here are some final tips to remember during your Cambridge interviews:
Be Early
As with any important interview or appointment, you should always aim to be anywhere between 10 – 20 minutes early, depending on what type of interview you have. For remote interviews, ensure your computer is all prepared, your camera and mic have been tested and that you will not be disturbed for the duration of the interview. If your interview is in person, be sure to get to the college with plenty of time to spare, as it can sometimes be difficult to find the room you need to be in.
Remain Calm
You will always hear this in regard to interviews, but it’s true. Being nervous is OK and difficult to get rid of completely, but it’s important to remain calm and collected when entering the interview, as it will help you maintain clear communication and thinking throughout. Remember, it’s not all about getting questions right; much of what they’re looking for is your personality and your motivation for studying there. These are the most important things to get across.
Think Out Loud
We’ve already discussed this, but it cannot be understated how important it is to avoid extended periods of silence while thinking. Even if you have no idea how to answer a question, you need to provide insight into how you’re approaching it and what knowledge you’re working with. If you’ve demonstrated that you can consider the correct things when answering a question, it won’t matter as much if you make a mistake during your explanation.
Opinions Don’t Matter
While these questions are less common in STEM interviews, you may be asked your thoughts or opinions on a topic. Be aware that how you feel doesn’t actually matter much. The important thing is that you can justify your reasoning with logic and facts, as well as your own personal interpretations of more subjective matters. Be honest when answering these questions, even if you feel your stance is the less popular one.
Use Visuals
In both in-person and remote interviews, you’ll have the tools available to write and draw things. As we saw from the example questions above, this is a really helpful option to have as it lets you explain certain things much easier. However, it’s good to practice this beforehand to ensure you don’t take too long to write equations or draw diagrams. Your time is limited, and using visuals is meant to save time rather than take up more of it.
That concludes our guide to questions at Natural Sciences interviews at Cambridge. There’s still a lot of ground to cover, but this guide has given you a broad understanding of what to expect. Your next step should be to continue your subject revision while beginning to practice for your interview via mock interviews. Sitting multiple mock interviews (ideally with someone you don’t know) will help you improve your technique and ease your nerves in time for the real thing.
Don’t wait until you’ve gotten your invitation to start preparing; it takes more than a couple of weeks to get yourself to a comfortable position for your interviews!
If you’re struggling to get started or feel your current preparation methods aren’t effective, consider working with UniAdmissions to drastically boost your interview performance and, thus, your chances of getting an offer. Our Natural Sciences Interview Preparation Programme is dedicated to making our students ideal Cambridge applicants in time for their interviews using our expert curriculum built upon our various support methods.
Our students work with experienced tutors in both one-to-one tutoring sessions and mock interviews, as well as having access to live sessions and extensive resources, all featured within the one-of-a-kind UniAdmissions Portal. If you’re ready to perfect your interview technique, book a free consultation today to learn more about enrolment. Good luck!
Get into Cambridge Natural Sciences with UniAdmissions
With our Natural Sciences Interview Programme, you will have all the tools you need to build the perfect interview technique and impress the admissions tutors. Our expert tutors are experienced in the Cambridge interview processes and will offer you exclusive insight into how you can stand out.
Discover our Cambridge Natural Sciences Interview Programme by clicking the button below to learn how you can enrol and triple your chances of success.






